La Libération de Rânes (Orne) en Août 1944  

L'Occupation à Rânes

    
 www.ranes1944.org 

Rubriques



Trois photos de soldats allemands dans le bourg de Rânes en juillet 1940

Dans le livre Ils étaient là! - 1940-1944 - L'Occupation vue par l'occupant en Basse-Normandie, par Olivier Sierra, Orep Éditions, 2014, pages 73 à 75.
Nous n'avons pas obtenu de l'auteur l'autorisation de reproduire ces clichés.
Légendes des photos:
- page 73. Rânes (Orne), juillet 1940: un groupe d'officiers converse sur la place. On aperçoit l'entrée du château en arrière-plan.
- page 74. Rânes (Orne), juillet 1940: des officiers et leurs hommes se regroupent sur la place, entre l'église et le château.
[Le drapeau nazi à croix gammée flotte sur le tour du château. L'officier qui figure au premier plan est le même que sur la photo précédente, page 73].
- page 75. Rânes (Orne), juillet 1940: une compagnie allemande se rassemble près de l'église.

Les divisions allemandes en
Basse-Normandie pendant l'Occupation

[...] La première phase [de l'Occupation], entre l'été 1940 et le printemps 1941, est marquée par l'arrivée massive puis par l'installation sur place d'importants contingents de divisions d'opération. Notons tout d'abord que la population bas-normande est surprise par la relative correction des soldats allemands, en regard des rumeurs propagées à leur sujet, notamment par les réfugiés, les décrivant comme des barbares, brûlant et pillant les villages. A leur arrivée, on se rend rapidement compte qu'il n'en est rien.
[...] Dès l'été 1940, l'occupation allemande en Basse-Normandie est très dense. Au mois d'août, huit divisions d'infanterie au total cantonnent dans la région, soit près de 130 000 soldats qu'il faut nourrir et loger [Note : Selon la date de formation, une division allemande d'infanterie du début de la Seconde Guerre mondiale regroupe entre 15 000 et 18 000 personnes].
[...] Dès la fin de l'été 1940, le mode d'occupation de la Basse-Normandie connaît de nouveaux changements. En effet, avec l'échec de la guerre aérienne menée par la Luftwaffeoutre-Manche, les projets de débarquement en Angleterre sont annulés par Hitler au mois de septembre 1940. Entre septembre et décembre, les effectifs allemands présents en Basse-Normandie diminuent alors de moitié, délestant ainsi l'espace occupé bas-normand dans le but de faciliter le ravitaillement et le logement des troupes. Les divisions quittant la Basse-Normandie s'installent alors dans d'autres régions de la France, ou dans les autres pays vaincus par l'Allemagne, comme par exemple les Pays-Bas ou la Pologne, afin de passer l'hiver dans les meilleures conditions.
[...] Dès le mois de février 1941, de nouvelles troupes quittent pourtant la Basse-Normandie: ce sont les premiers signes montrant que l'état-major allemand prépare de nouvelles opérations, situées cette fois à l'Est de l'Europe. La 170e division d'infanterie quitte le Calvados pour la Roumanie, alliée de l'Axe. Un mois plus tard, c'est au tour de la 6e division d'infanterie, stationnée jusque là dans la Manche, de prendre le chemin de l'Est. Enfin, au mois d'avril, la 57e division d'infanterie quitte Thury-Harcourt pour la Pologne. Toutes ces troupes se trouvent alors engagées dans le gigantesque front finalement ouvert le 22 juin 1941.
[...] En  mai 1941, trois divisions seulement sont installées dans la région. Mais le haut commandement allemand comble rapidement la brèche créée dans le dispositif d'occupation de la Basse-Normandie. Dès le printemps, l'armée allemande procède en effet à la création de nouvelles divisions, s'appuyant sur une mobilisation de couches toujours plus larges de la population allemande. Contrairement aux premières troupes arrivées sur place, ces nouvelles divisions se caractérisent par une moyenne d'âge des soldats plus élevée. Beaucoup d'engagés sont pères de famille, on y trouve des gens de culture: professeurs, avocats, et autres professions littéraires. Cette différence notable dans la composition des nouvelles troupes a son importance dans les relations avec la population.
Entre avril et juillet 1941, la Basse-Normandie voit ainsi s'installer quatre divisions [Note : Il s'agit des 323e, 332e, 711e et 716e divisions d'infanterie, installées respectivement à Caen, Coutances, Le Quesnay et Villedieu-les-Poëlles (Manche)], non plus d'opération, mais plus directement d'occupation, plus statiques car beaucoup moins motorisées. De juillet 1941 à mars 1942, les deux tiers des forces occupantes en Basse-Normandie sont des divisions nouvellement constituées.
[...] Entre juillet et novembre 1941, la Basse-Normandie est occupée de manière continue par les six divisions d'infanterie suivantes: la 83e, la 216e, la 323e, la 332e, la 711e et la 716e.
[...] Entre novembre 1941 et février 1942, l'effectif des soldats allemands stationnés en Basse-Normandie est ainsi divisé par deux. Dès décembre 1941, de nouveaux contingents quittent en effet la région en direction de l'Europe de l'Est. Si les divisions expérimentées partent les premières, celles initialement constituées au printemps 1941 pour servir de forces d'occupation en Basse-Normandie se voient également mobilisées vers l'Est. Le séjour en Normandie leur avait servi d'entraînement et de préparation au combat.
Le mouvement des départs dure alors jusqu'au mois de mars 1942 quand la 323e division d'infanterie quitte, après tout juste un an de présence, la ville de Caen pour se diriger vers le sud de la Russie. La Basse-Normandie connaît alors deux mois de très faible occupation, puisque trois divisions seulement restent installées dans la région. Cette période marque la fin de la deuxième phase de l'occupation allemande en Basse-Normandie.
[...] La troisième phase d'occupation est marquée à la fois par une augmentation de l'effectif des troupes stationnées en Basse-Normandie et par une diversification des troupes présentes. Les raisons de ces changements sont doubles: d'une part, de nouvelles divisions sont constituées dans la région, et d'autre part, des unités souvent éprouvées, voire quasiment détruites, arrivent en Basse-Normandie pour être recréées.
La région reste donc toujours une aire de constitution et d'entraînement de nouvelles divisions. Entre mars 1943 et février 1944, quatre nouvelles divisions sont formées sur le territoire bas-normand. Mais contrairement à celles créées à l'été 1941, elles restent sur place jusqu'au Débarquement du 6 juin 1944.
L'accroissement des effectifs stationnés en Basse-Normandie résulte surtout d'un autre phénomène, à savoir celui de la mise au repos d'unités exténuées par les combats sur le front russe. Ainsi, entre avril 1942 et octobre 1943, neuf divisions allemandes arrivent dans la région, dont la moitié en provenance directe du front de l'Est. Le séjour est plus ou moins long: si pour certains, le cantonnement en Normandie ne dépasse pas la durée d'un mois, d'autres restent beaucoup plus longtemps. Ainsi, la 389e division d'infanterie passe cinq mois dans le Sud-Manche, entre mars et juillet 1943. Le terme de "récréation" est ici particulièrement adapté, puisque cette division blindée a subi d'importants dégats dans la bataille de Stalingrad. Après la convalescence de ses soldats, la réparation du matériel restant et la formation de nouvelles recrues, la division est mobilisée de nouveau, en direction du Dniepr.
La présence allemande en Basse-Normandie est particulièrement dense pendant l'hiver 1942-1943: un pic est atteint au mois de décembre avec huit divisions allemandes présentes dans la région. La saison hivernale suivante connaît également une forte présence de divisions allemandes, au nombre de sept en novembre 1943. Ce phénomène peut s'expliquer par un climat régional relativement doux en hiver, ainsi que par des ressources en nourriture plus abondantes par rapport à d'autres régions de l'Europe, favorisant le repos des troupes.
Il est également à remarquer, pour cette troisième phase de l'occupation allemande en Basse-Normandie, que le nombre de divisions présentes dans la région ne descend plus en dessous de cinq à partir de septembre 1942.
[...] Avec la perspective d'une invasion alliée en Normandie qui se précise de jour en jour, le haut commandement militaire allemand réagit dans le sens d'un renforcement de la défense des côtes.
[à partir de novembre 1943] Cette nouvelle politique de défense de l'Ouest se traduit surtout par la construction d'un grand nombre d'édifices à caractère défensif tout au long de la côte de la Manche, décuplant ainsi considérablement les réquisitions de main-d'oeuvre et de matériel auprès de la population civile.
Cependant, malgré cette nouvelle politique, le nombre de divisions allemandes stationnées en Basse-Normandie ne croît guère. Les changements dans la composition du corps occupant sont pourtant réels, mais il faut observer la composition même de chaque division afin de les identifier.
En effet, un certain nombre de régiments sont détachés de leurs divisions et réintégrés dans d'autres, situés sur le front oriental. La brèche ainsi créée dans le dispositif d'occupation en Basse-Normandie est comblée par l'arrivée de bataillons formés de soldats étrangers: les Osttrupppen. Ce changement dans la composition interne des divisions allemandes se répercute sensiblement sur l'image que se font les civils de l'armée allemande.
La population bas-normande souffre particulièrement du comportement spécifique de ces nouvelles troupes. Certaines d'entre elles ont très peu de points communs avec celles qui sont stationnées dans la région depuis quelque années déjà, et auxquelles on s'est finalement plus ou moins habitué.
Une partie de ces nouvelles unités sont ce que l'on appelle des "bataillons de peuples étrangers" (fremdvölkische Bataillone), recrutés notamment en Ukraine, en Russie, en Géorgie ou encore au Turkestan. Ces Osttruppen, les "troupes de l'Est", plus officiellement appelées les "unités de volontaires" (Freiwilligen-Verbände), ont été intégrés dans les rangs de la Wehrmacht pour remplacer les 240 000 soldats allemands perdus dans la bataille de Stalingrad.
[...] Les unités étrangères arrivent en France à la fin de l'automne 1943. Elles sont affectées à la défense des côtes normandes et bretonnes. Loin de leur patrie, les soldats des Osttruppen effraient la population civile par les traits exotiques de leurs visages: rapidement, on les appelle "Mongols" ou "Tartares".
Leur nombre aussi est impressionnant: depuis 1943, entre 60 et 80 bataillons étrangers participent à la défense des côtes de la Manche. Leur nombre est particulièrement important dans les derniers mois de l'occupation. Ainsi, en mars 1944, on dénombre quelques 24 Ost-Bataillonne sur le seul territoire de la 7e armée.
[...] La Wehrmacht doit aussi composer avec des soldats italiens. Ainsi 192 Transalpins se portent volontaires auprès de le 716e division d'infanterie le 24 octobre 1943.
[...] Même dans les unités SS, qui au début de la guerre étaient si exclusivement réservés aux Allemands, on accueille des étrangers: en effet, à partir de l'été 1943, un soldat SS sur trois n'est pas de nationalité allemande.
[...] Le nombre de divisions allemandes stationnées en Basse-Normandie ne commence véritablement à croître qu'à partir du mois de mars 1944. Quatre divisions supplémentaires sont alors installées dans la région, portant le nombre de divisions allemandes présentes en Basse-Normandie à la veille du Débarquement à un total de dix, soit un effectif de 60 000 à 70 000 hommes dans le département du Calvados, ainsi que 35 000 soldats dans la Manche.
Conclusion
[...] Entre la mi-juin 1940 et la veille du Débarquement, 38 divisions allemandes se succèdent dans l'occupation de la Basse-Normandie. Si dans les premiers mois, l'essentiel des troupes est constitué de divisions d'opération, celles-ci cèdent bientôt place à des unités plus à proprement parler d'occupation. La situation change radicalement au cours du printemps 1942, quand des divisions revenant du front de l'Est s'installent dans la région et ouvrent ainsi le bal des allées et venues incessantes entre les fronts et la France occupée. Ce n'est qu'au printemps 1944, face à la menace imminente d'un débarquement allié sur les côtes françaises, que le haut commandement militaire allemand prend la décision de diriger des divisions supplémentaires vers la Basse-Normandie.

Extraits de : Valentin Schneider, Les divisions allemandes en Basse-Normandie pendant l'Occupation: étude quantitative et qualitative (19 juin 1940 - 5 juin 1944). Caen: Annales de Normandie, n° 5, décembre 2005. pp. 427-458.


Les heures sombres de l'Occupation - 1940-1945

Il n'est guère aisé d'écrire en ces quelques lignes le récit de cinq années d'occupation et d'en recréer l'atmosphère.
Dès la fin du mois de Mai 1940, Rânes avait vu passer le flot des réfugiés des régions du Nord et de la Belgique avec son cortège de misères et de détresses.
Le Lundi 17 Juin, vers midi, jour où le Maréchal Pétain prononçait à la radio la première allocution annonçant un prochain armistice [le discours du fameux "je fais à la France le don de ma personne pour atténuer son malheur"], deux petits tanks amphibies, venant par Vieux-Pont, éléments légers des avant-gardes allemandes, furent les premiers à occuper notre localité. D'importants contingents de la Wermacht y demeurèrent tout l'été, envahissant maisons du bourg et fermes des villages.
Pendant les années qui suivirent, des éléments isolés ou des petites formations s'y succédèrent: infanterie, services divers de la cartographie, troupes au repos avant le départ pour le front russe, parachutistes de Crète au repos au château (passés un jour en revue par le maréchal Goering pendant que toutes les issues du bourg étaient gardées et les habitants consignés), ateliers de réparation, parc automobile (un officier autrichien francophile de cette formation nous évite à plusieurs reprises les vexations des SS de passage).
Les réquisitions de toutes sortes furent monnaie courante: billets de logement, transports d'isolés, livraisons de bêtes à corne et de chevaux, sans oublier la raffle des moyens de transport au moment de la débâcle allemande vers la trouée de Chambois.
La jeunesse ne fut pas épargnée: plusieurs noms furent tirés au sort, exigence de la prétendue "organisation du travail" et les requis furent envoyés aussitôt sur la côte pour participer à la construction du "Mur de l'Atlantique".
L'organisation Todt avait également un bureau permanent route de La Ferté-Macé.
Rânes abrita de côté et d'autre, de nombreux réfractaires à ce même service du travail ("S.T.O."), lesquels avaient préféré choisir la liberté dans la clandestinité que l'accroissement des effectifs ouvriers dans les usines allemandes ou dans celles qui travaillaient pour eux. Une conséquence heureuse et inattendue: l'excellent comportement à ce moment et le dynamisme des équipes sportives locales augmentées d'éléments réfractaires au travail.
La "Garde des Voies de Chemin de fer" était de rigueur aux Yveteaux sous la responsabilité du charron de Lougé, M. Maingot; (véritables expéditions le soir où l'on partait la musette bien garnie... et retour au petit matin). La garde des lignes téléphoniques à Ste-Marie-la-Robert fut instituée quelques mois avant le débarquement allié.
"L'Aide à nos Prisonniers" fut active sous l'impulsion de Mmes Cl. Richard et Lefèvre, de Charles Sérée (un des derniers sabotiers, un des premiers prisonniers rentré au titre de la relève [on peut voir son magasin dans le film tourné par les américains lors de la libération du village]), de M. l'abbé Ruel [qui fut tué le 14 Août 1944 lors des bombardements du bourg]. Chaque semaine de nombreux colis étaient confectionnés dans un des pavillons du château, celui de la poste actuellement, puis, acheminés vers les lointains stalags apportant réconfort moral et matériel à tous. Certains prisonniers (classe 35 en particulier les frères Préel des Noës) ne devaient rentrer au pays qu'après sept ans d'absence.
Notre village, au coeur du Bocage, fut un havre de salut pour les citadins; que de colis de beurre sans tickets partaient journellement de la petite poste! Que d'allées et venues furent faites par ceux pour qui le pain quotidien était un problème vital! Chaque ferme avait ses habitués et même des relations d'amitié s'établirent alors. Certaines familles ont gardé l'habitude de revenir à la période des vacances à Rânes ou dans les environs.
C'est à Rânes, à la Forêterie, que fut créé le centre du courageux Réseau de Résistance (Plan Tortue), animé par J. Foccart, actuellement [en 1966] Secrétaire d'Etat à la Communauté.
Un travail efficace, soutenu, souvent difficile et périlleux, se fit à l'abri de toute indiscrétion dès 1941 [la date du début de la résistance à Rânes est controversée; voir les références données ici]. On ne comprit que plus tard la mission de l'avion mystérieux qui, souvent vers minuit, survolait le secteur, pour effectuer les parachutages indispensables. Le réseau fut démantelé cruellement aux mois de Mai et Juin 1944 par la Gestapo, aidée par les sinistres Jardin et Neveux: plusieurs membres furent arrêtés, torturés, emmenés et la plupart moururent en déportation.
Pour perpétuer le souvenir de leurs sacrifices, la Commune a inauguré le 9 Mai 1965, une plaque commémorative apposée sur le monument aux morts, où sont gravés les noms de ceux qui surent souffrir pour notre liberté.
Au milieu du mois de Juin 1944, Rânes vit passer par le bourg les nombreux réfugiés de la plaine de Caen, évacués d'office et qui avaient dû tout abandonner.
Le groupe local du "Secours National" avait organisé, avec le concours de toutes les bonnes volontés, un centre d'hébergement, une cantine et un centre de soins.
On a encore en mémoire les grands plateaux des charrettes à foin, les carrioles partant au petit matin pour l'étape suivante (Joué-du-Bois) et vers la Mayenne, lieu de repli de tous ces infortunés.

Rânes Monographie réalisée par le syndicat d'initiative de Rânes en Mars 1966. Document présenté dans le cadre de l'émission "Bonjour Monsieur le Maire" sur Europe 1.


Le rationnement, la hausse des prix et leurs conséquences

Pour l'ensemble de la population rânaise un système de tickets de rationnement est mis en place pour tous les produits de première nécessité. Ainsi la viande, le lait, les œufs, le blé, le sucre... mais aussi les chaussures, le savon, l'huile et d'autres produits tels que l'essence sont contingentés.
Selon Pierre Lemière, les problèmes de rationnement existaient à Rânes mais le fait de se trouver à la campagne limitait leur importance. On ne manquait pas de viande : il suffisait de tuer un cochon, un veau ou des volailles et se les partager ensuite avec les autres hameaux. Pour le bourg, nous avance Simone Guillouard, le rationnement était plus pesant. La principale difficulté fut le ravitaillement en pain. Sur ce point, il semble bon de s'appuyer sur le témoignage de Suzanne Mourez, la fille du boulanger Duval. "Au début de l'occupation, il y avait des dépôts de pain à Lougé-sur-Maire, Vieux-Pont, Saint-Brice et à Saint-Georges-d'Annebecq où un agriculteur venait prendre la livraison de pain pour sa commune à Rânes. Les autres dépôts étaient pourvus par Monsieur Duval en voiture. Avec le contingentement de l'essence cela n'était plus possible. Bien qu'ayant acheté un gazogène, les communes les plus éloignées ne pouvaient plus être approvisionnées et durent s'arranger toutes seules. A cela, l'absence d'ouvriers qualifiés retenus en Allemagne ne favorisait pas l'économie du village. N'ayant plus de main-d’œuvre expérimentée, André Duval fut obligé de faire appel à des jeunes. Il en résulta que de nombreuses "fournées" furent ratées. Le travail du boulanger ne s'arrête pas là, il faut aller chercher la farine, elle aussi contingentée, dans des dépôts, à laquelle il faut ajouter bien souvent de la farine obtenue en fraude. Le pain que l'on obtenait était de qualité moyenne en raison du mélange de la bonne et de la mauvaise farine." Aux contraintes matérielles s'ajoutent les contraintes climatiques. Il ne faut pas oublier que la Normandie a connu quelques hivers très durs, causant de mauvaises récoltes en blé et par conséquent une pénurie de farine.
Sur les marchés, 1940-1944 est également une période de forte inflation en raison d'une baisse de l'offre par rapport à la demande. Certaines personnes ne peuvent plus faire face. En milieu rural comme à Rânes, plutôt que d'acheter ou de vendre sur le marché, les habitants préfèrent échanger leurs produits. Dans les villes, la situation n'est pas la même car on ne produit pas de viande ou de légumes. Pour se nourrir, ils ne disposent que des rations délivrées grâce aux tickets, c'est-à-dire peu. Ils ne peuvent pas acheter sur le marché, les prix y étant souvent trop élevés ou les produits trop rares. C'est à cette époque que la population urbaine viendra s'approvisionner directement à la campagne. Certaines personnes du bourg qui auraient pu souffrir du rationnement assurent que les paysans étaient loin d'être des profiteurs vis-à-vis des étrangers au monde agricole. Madame Mourez se rappelle cependant que certains agriculteurs, ils n'étaient pas en majorité, préféraient vendre aux étrangers plutôt qu'à des personnes de la commune pour ainsi avoir plus de bénéfices. Il semble certain que les paysans réussirent à vendre leurs marchandises, ce qu'ils n'avaient pu faire auparavant, nous avoue Simone Guillouard. Peut-être fait elle allusion à la crise des années 1935-1936, qui toucha très durement le milieu agricole normand.
Si les agriculteurs réussissent à vendre leurs produits, peut-on convenir d'un éventuel marché noir ? "Il y a des gens qui se sont permis de faire du marché noir. Ils vendaient leurs marchandises le double, voire le triple de leur valeur. A Rânes, ce trafic ne semble pas avoir vu le jour [...] Il y avait des gens qui venaient sur place pour faire des provisions et les paysans rânais vendaient au prix du marché... ou peut-être un peu plus, mais ce n'était pas du marché noir." De son côté Simone Guillouard, alors institutrice à Rânes, souligne qu' "il n'y a pas de Rânais qui amassèrent visiblement beaucoup d'argent de manière suspecte", et ajoute que "sur une population de 1200 habitants, cela se serait vu." Pourtant Suzanne Mourez n'est pas aussi affirmative ; selon elle certains exploitants auraient profité de la période d'occupation pour remettre en ordre leur ferme ou rembourser leurs dettes en vendant leur beurre et leurs œufs à des gens de la ville plutôt qu'au boulanger de Rânes qui en avait la nécessité pour fabriquer son pain. Aussi peut-on supposer en s'appuyant sur les différents témoignages que si Rânes connut un marché noir, ce fut l'œuvre d'une minorité qui sut ne pas trop attirer l'attention sur elle. De plus on peut supposer, d'après les témoins, qu'ils n'ont pas amassé de fortune colossale.
Durant ces quatre années de guerre, de nombreux habitants envoyèrent gratuitement des colis, souvent par l'intermédiaire d'aumôniers ou de membres de la JAC de Paris, à des parisiens nécessiteux. Comme le dit Pierre Lemière : "On ne les connaissait même pas." Est-ce là un discours de profiteur ?
On voit à ce moment des personnes qui se rappellent soudainement qu'ils ont un "cher" parent ou ami qui habite à la campagne et que l'on n'a pas vu depuis longtemps. C'est l'occupation qui révélera les véritables caractères des gens : les lâches, les hypocrites, les accapareurs mais aussi les gens sincères et prévenants. Elle aussi qui réveille chez certains le goût du "système D" pour parer aux contraintes de la pénurie. Ainsi pour faire face à certains manques, des produits de substitutions sont apparus : la mixture d'orge remplace tant bien que mal le café tandis que le pastis est fabriqué à base de "Calvados". Le savon, indispensable pour laver le linge, est remplacé par de la cendre.
Finalement, le rationnement toucha l'ensemble des Rânais sans pour autant les empêcher de vivre. Cependant on peut ajouter que les restrictions se faisaient plus vives à mesure que les années d'occupation s'écoulaient. Aussi, même s'il y eut du marché gris, les gens de Rânes dans la majorité ont fait preuve d'une certaine entraide. Celle ci se manifesta davantage dans l'aide apportée aux prisonniers et à leurs femmes restées seules pour l'exploitation.

Extrait de : Jean-Philippe Bignon, Rânes pendant la seconde guerre mondiale
Mémoire (Histoire), Université de Caen, 1994. pp 13-15


La vitalité de la commune de Rânes

Pendant ces années de guerre, on a constaté beaucoup d'entraides. Cet aspect joua un rôle important dans l'essor de la vitalité de Rânes, cela rapprochait les gens. A côté de cela, le nombre important de jeunes y apporta un second souffle qui allait s'éteindre avec la mise en place du STO.

Beaucoup de jeunes souhaitant bien faire...

Dès 1939, les jeunes seront mis à contribution : les femmes de soldats puis de prisonniers sollicitèrent une aide pour mener à bien leur exploitation. De leur côté, les artisans devaient remplacer les ouvriers qualifiés partis en Allemagne. De plus, c'est cette jeunesse importante, nous dit Suzanne Mourez, qui apporta la gaieté dans la commune.
Un des moteurs de cette jeunesse fut la JAC (Jeunesse Agricole Chrétienne). Ce mouvement national avait des ramifications départementales. Dans l'Orne, c'était Pierre Lemière qui en était le secrétaire. "La Jeunesse Agricole Chrétienne était un mouvement d'action catholique au service des jeunes agriculteurs. Elle a beaucoup contribué à l'évolution du monde rural. Les jeunes agriculteurs, ainsi que tous les paysans d'ailleurs, étaient plutôt considérés comme des attardés [...]. Le mot paysan était péjoratif dans le sens de gens pas évolués - sales - sentant la vache [...]."
"Et puis, si les paysans connaissaient bien et même très bien la pratique de leur métier, sur le plan théorique, ils ne savaient rien ; et pas moyen d'apprendre : pas de lycées agricoles, pas de maisons familiales."
"A la JAC nous avons pris le taureau par les cornes - nous avons créé les cours par correspondance dans l'Orne. Les répétiteurs c'étaient nous -nous apprenions en même temps - . Nous avions des réunions tous les mois. Dans ces réunions nous méditions sur un passage des Evangiles [...] puis nous discutions de ce qu'il y avait à faire pour faire évoluer le monde paysan, pour aboutir à des réalisations dans nos villages. "Voir - Juger - Agir", telle était notre devise."
"[...] Puis la guerre est venue. Les dirigeants sur le plan départemental étant mobilisés, nous avions été appelés à les remplacer [...]. Pendant la guerre, avec l'arrivée des Allemands, tous les mouvements de jeunes ont été interdits - ce qui n'a absolument pas retardé notre activité, au contraire." [Note: Les mouvements à tendance catholique restèrent tolérés].  
"Nous avons continué à organiser des réunions dans tout le département. Nous allions, en vélo, prendre la parole à des réunions de jeunes. Nous avons organisé des fêtes de la terre et de la maison qui rassemblaient les jeunes et les adultes. Dynamiser les jeunes, leur donner espoir, aider à leur formation, en faire des hommes capables de réfléchir et d'organiser eux-mêmes leur vie, se prendre en charge, c'était là notre but."
Si ce témoignage prend pour cadre le milieu agricole de l'Orne, il en est de même à Rânes puisqu'un grand nombre de jeunes se destinaient, si ce n'était déjà fait, à l'agriculture. La grande majorité de la jeunesse rânaise, agriculteurs mais aussi artisans, se réunissait donc à Rânes tous les mois pour la JAC.
La JAC de Rânes s'occupera, aidée d'adultes, des représentations de théâtre à Rânes dont les recettes allaient servir à l'achat de colis pour les prisonniers. Chaque année une pièce était montée suivie de trois ou quatre représentations dans le patronage de Rânes. Elles étaient souvent tirées des œuvres de Labiche. C'est la JAC qui s'occupa de la kermesse de la maison en septembre 1942. Suzanne Mourez nous annonce le déroulement de la fête : "Pour cette grande fête des dirigeants nationaux de la JAC étaient venus à Rânes. Le matin il y avait une messe et l'après-midi les prémices de la terre étaient présentés et offerts puis se termina par un grand jeu scénique."
En même temps que la JAC, un renouveau de prières apparaît dans la petite commune et des gens qui ne croyaient pas se tournent vers la prière ou participent à la messe dominicale.
Bien que la JAC n'en fut pas responsable, beaucoup de ses adhérents appartiennent aux associations sportives de Rânes. La société "l'Education Physique de Rânes" assurait les pratiques de l'athlétisme et du football, tandis que des initiatives individuelles proposaient de nombreuses promenades à vélo. D'autre part, un terrain de tennis fut crée à l'initiative d'Henri Tournet et de Jacques Foccart à la Forêterie ; il accueillait les notables de Rânes, les fils de commerçants ainsi que les amis des propriétaires.
Pendant l'occupation, le cinéma est aussi présent à Rânes puisque régulièrement un appareil cinématographique était transporté d'Ecouché à Rânes à l'aide d'une carriole. Après des actualités propagandistes, les Rânais se rappellent des films de Pagnol : Marius, César, Fanny... ainsi que des "Charlots".
En fait comme l'atteste les différents témoignages, on s'arrangeait dans la guerre. Comme le souligne ironiquement Pierre Lemière : "On n'attendait pas les subventions pour bouger." Cependant l'occupation met beaucoup de bâtons dans les roues et les jeunes, les principaux responsables de cette vitalité, vont commencer à s'en fatiguer.
 
... mais ils sont freinés par l'occupation et le STO
Seul un fervent dynamisme des Rânais pu passer outre aux contraintes allemandes et administratives. Seul le STO mit un frein réel à cette jeunesse.
A propos de la JAC, Pierre Lemière raconte que "cela ne plaisait pas trop aux Allemands. C'était une forme de résistance. Il y avait à côté de cela des jeunes qui collaboraient à fond avec l'occupant : les jeunes de Pétain. Un beau jour ils ont essayé de nous récupérer. Ils avaient organisé à Argentan une fête de la jeunesse rurale à laquelle nous étions invités à donner des témoignages. C'était un piège. Lorsque nous sommes arrivés - Pierre Peccatte, Robert Haye et moi-même - les entrées étaient gardées par des miliciens en uniforme. Nous sommes entrés, après un moment d'hésitation, nous ne nous sommes pas dégonflés, bien décidés à donner nos témoignages en ne mettant pas notre drapeau de la JAC dans notre poche. D'ailleurs la plupart des gens qui étaient là appartenaient à la JAC. Nous avons été applaudis et les organisateurs faisaient grises mines. Ils ne nous ont jamais redemandé. Malgré tout nous avons continué notre action mais nous étions fichés."
A cela il ajoute des problèmes qu'ils ont encourus pour l'organisation de la grande kermesse de la moisson de Rânes. Lors de ces fêtes, des épis de blé et de la farine étaient utilisés pour la décoration. Cependant ces produits étant contingentés, tout transport était interdit sans l'autorisation du maire. Or comme nous l'avons vu précédemment, le maire de Rânes était plutôt craintif à l'égard des Allemands. Il fit tout en sorte pour que Pierre Lemière, détaché par le groupe de la JAC de Rânes pour obtenir l'autorisation, ne ressorte de chez le maire avec celle-ci. Il tenta de saouler, avec réussite d'ailleurs, le jeune Rânais, cependant la témérité de ce dernier l'obligea à signer la permission. Ce n'est qu'après dure bataille que la kermesse peut se dérouler.
Ce qui va surtout mettre un coup d'arrêt aux efforts des gens actifs de Rânes sera la mise en place du STO.
"Laval, le 16 février 1943, mobilisait pour deux ans, trois classes d'âge que le baby-boom de l'après-guerre avait bien étoffées : tous les hommes nés entre le 1er juillet 1920 et le 31 décembre 1922 devaient partir pour l'Allemagne : le Service du Travail Obligatoire (STO) était né." [J.P. Azéma De Munich à la Libération, p. 211]. Le STO connut en réalité cinq phases correspondant aux cinq actions Sauckel, "le négrier européen", qui avait pour mission de faire venir en Allemagne un grand nombre de travailleurs. La première action prit le nom de Relève sous la demande de Pierre Laval le 22 juin 1942. On assurait qu'un prisonnier Français serait libéré pour trois travailleurs arrivés en Allemagne. A Rânes comme ailleurs, la Relève n'obtint pas le succès escompté. Pierre Lemière ne se souvient pas avoir vu des gens de sa commune partir à ce titre. Par contre Charles Serée sera le seul Rânais à revenir d'Allemagne au titre de la Relève.
L'année réellement décisive du STO est 1943. Pierre Lemière, un des premiers requis au STO, mais aussi son premier réfractaire se rappelle : "lorsqu'en juin 1943 les jeunes de la classe 42 ont passé une visite avec les Allemands et certains Français, presque tous les gars sont passés au travers avec des certificats de médecin obtenus frauduleusement. Beaucoup avaient les poumons attaqués. Seuls deux gars furent requis pour le service du travail obligatoire en Allemagne, tous deux étaient des membres importants de la JAC. J'étais un de ceux là."
Plus tard, les autorités Allemandes et leurs collaborateurs Français passeront outre aux faux certificats de médecins et de nombreux jeunes Rânais plutôt que de partir en Allemagne prendront le maquis ou se feront engager à l'organisation Todt. Il semblerait que peu de Rânais partirent à l'étranger au titre du STO.
Le dynamisme qu'a connu Rânes auparavant n'est plus de vigueur : c'est la fin des fêtes, des réunions de la JAC. Les nombreux jeunes sont soit camouflés, soit en Allemagne, soit au service de l'Allemagne en France. La véritable vitalité de la jeunesse est entrée au service de la résistance. Le STO semble donc bien avoir été profitable à de Gaulle et aux alliés. Il serait intéressant de voir quelle fut l'opinion publique rânaise à l'encontre des Allemands, du gouvernement de Vichy et des adversaires du nazisme.

Extrait de : Jean-Philippe Bignon, Rânes pendant la seconde guerre mondiale
Mémoire (Histoire), Université de Caen, 1994. pp 17-20


L'opinion publique des Rânais de l'invasion à la veille de la Libération

Aujourd'hui, plus qu'il y a un demi-siècle, demander aux gens ce qu'était leur opinion vis-à-vis des événements nationaux et internationaux reste un enjeu difficile. Même avec des témoins objectifs et honnêtes, la libération et les années ont souvent effacé des idées et gommé des contraintes ou des agissements qui, au lendemain de la guerre, étaient encore conformes aux faits encourus. D'autre part comme le dit Pierre Lemière, les Rânais ne semblent guère s'occuper de politique, mis à part quelques irréductibles qui possédaient la radio ou le journal, on s'inquiétait davantage de son propre bien-être, voire des affaires communales. Cependant occulter certains témoignages seraient préjudiciables à la compréhension de cette période dans la commune de Rânes. Pour étudier le thème de l'opinion publique rânaise, vis-à-vis de l'occupation d'une part et des événements nationaux et internationaux d'autre part, nous distinguerons trois points : les relations avec l'occupant, l'idée que l'on se fait du régime de Vichy puis l'émergence d'un espoir : les alliés d'outre-mer et d'URSS.

I) Vis-à-vis de l'Allemagne et de l'occupant
Le 17 juin 1940, Rânes est traversée par les troupes allemandes sans qu'un seul coup de feu ne soit échangé. Trois jours après, la commune faisait partie de la zone occupée. Dans les semaines qui suivent, la mairie est placardée d'un certain nombre d'avis, d'ordonnances et de décrets ayant comme conséquences : interdictions, ordres et réglementations. Jusqu'au 15 août 1944, les Rânais devront vivre à l'heure allemande. Plusieurs fois en quatre ans des soldats allemands viendront s'installer à Rânes. Il semble donc intéressant ici de s'interroger sur les sentiments rânais vis à vis du IIIème Reich et l'occupation. Nous essaierons de répondre à plusieurs questions : est-ce que l'opinion publique a été réceptive aux Allemands, et si oui pourquoi ? Comment les Rânais ressentaient-ils l'occupation et l'occupant ? Et enfin si on peut parler d'une résistance passive rânaise à l'encontre des troupes ennemies ?

a- Une population plutôt réceptive aux allemands
Le 22 juin 1940, le gouvernement français installé à Bordeaux signe l'armistice avec l'Allemagne. Désormais la France est coupée en deux : la moitié nord du territoire français et son littoral sud-ouest sont occupés par les troupes allemandes, l'autre partie est laissée libre. 
Face à la victoire rapide des Allemands sur la France, la grande majorité des Rânais s'imagine alors que l'Allemagne est invulnérable. Leur opinion est appuyée par l'acte d'armistice qui a été signé à Rethondes à la demande de celui qui avait "sauvé la France" lors de la Première Guerre Mondiale : Philippe Pétain. Désormais certains Rânais, à l'image du gouvernement installé à Vichy depuis le 1er juillet, pensent que la meilleure façon de s'en sortir est de suivre Pétain et de s'appuyer sur l'Etat germanique. C'est ainsi que l'entendait André Duval, le boulanger de Rânes. Ceci est soutenu par le témoignage de Pierre Lemière : "J'ai connu quelqu'un qui, lorsque je fus requis au STO m'invita à partir. Comme les Allemands avaient gagné la guerre il s'imaginait qu'en s'appuyant sur l'Allemagne on pourrait construire l'Europe." Il ajoute qu'il n'était ni nazi, ni pro-Allemand. Cependant c'était un comportement compréhensible à l'époque dans la mesure où l'on finissait par s'imaginer que l'occupation allait durer. Hitler n'avait-il pas dit que le nazisme allait durer mille ans. De plus comme nous l'avons vu dans la première grande partie, les Allemands n'ont pas montré d'agressivité à l'encontre des villageois, ce que ces derniers avaient toujours craint.
A cela d'autres aspects rentrent en ligne de compte. Pour certains Rânais, nous raconte Madame Guillouard, la rigueur, l'ordre et la discipline allemande sont des grandes marques de dignité. Elles se souvient aussi des démonstrations allemandes de chants sur la place publique et de certaines personnes trouvant cela formidable.
Des demoiselles, de leurs côtés, préféraient au chant les corps de ces grands hommes blonds. C'est ainsi que Pierre Lemière se rappelle de deux femmes qui, au départ des Allemands, laissèrent échapper quelques larmes et d'un voisin qui, ironiquement, devant ces pauvres femmes en pleurs, leur proposa son mouchoir.
Cependant certaines apparences peuvent devenir trompeuses comme peut nous le conter Madame Simone Guillouard, alors institutrice à Rânes : "En temps qu'institutrices, nous étions chargées de parler aux Allemands. Des soldats de la Wehrmacht venaient après la classe et nous demandaient de les suivre. On était jeunes, on avait 22 ans, on ne chercha pas à les contredire et on allait les écouter jouer du piano, dans la salle des fêtes. Pour les habitants de Rânes nous étions avec les Allemands. Or nous ne pouvions nous dérober, la directrice qui était plus âgée ne nous défendait même pas et s'enfermait dans sa classe. Les Rânais, après quelques mois, oublièrent leur sentiment injustifié." A l'aide de cet exemple, on se rend compte que si l'ensemble de la population vit à l'heure allemande et peut montrer de la sympathie à l'égard des qualités allemandes, elle ne cherche pas à lier contact avec l'occupant qu'elle préférerait savoir en Allemagne.
 
b- Nombreux sont les Rânais qui les laissent tranquilles
En réalité, "on les laissait tranquilles, c'étaient quand même des envahisseurs", rétorque Pierre Lemière. "Au début, ajoute-t-il, lorsque les Allemands sont arrivés on ne pensait pas que l'occupation durerait." Ne devait-elle pas s'arrêter une fois que serait signé un acte de paix entre la France et l'Allemagne ? Or comme nous le savons aujourd'hui, aucun accord de ce genre ne fut échangé entre les deux nations.
En outre, un sentiment de crainte subsiste. Le portrait type en est le propre maire de Rânes, Pierre Guillais. Lorsque l'Organisation Todt vient implanter un relais dans la commune, l'officier se rendant à la mairie fut accueilli par le maire au garde à vous. C'est Pierre Lemière qui se trouvait là au moment qui me conta l'anecdote. Il ajouta que l'officier avait peu apprécié. Cette crainte se retrouve aussi à la fin de la période lorsque se met en place un solide réseau de résistance à Rânes. Madame Mourez avoue qu'elle et sa famille avaient peur d'une riposte allemande contre les actes germanophobes de certains Rânais. Cela devait être le sentiment d'une grande partie de la population.
En fait, jusqu'en août 1943, pour les villageois, l'Allemagne, c'est ces soldats de la Wehrmacht envoyés loin de leur famille et faisant la guerre contre leur gré. Les Rânais, dans un premier temps, ne condamnaient pas ces "hommes de terrain" mais plutôt celui qui les avait envoyés.
Tous les témoignages approuvent la passivité des Rânais à l'encontre des allemands. Cependant à partir d'un certain moment, des marques d'opposition se font sentir.

c- "Cependant on sentait que l'on n'était plus libre"
Comme nous l'avons vu dans le chapitre sur la vitalité de la commune, de nombreux jeunes finissent par être désabusés vis-à-vis des contraintes imposées par l'occupation. Ils ne sont pas seuls. Si la majorité des Rânais, hostiles à l'occupation du fait des réquisitions, des restrictions et de l'occupation en elle-même, se terre dans son "train-train" quotidien, d'autres osent montrer leur opposition.
Depuis le début de la guerre, les premiers à parler fort contre les allemands sont les anciens combattants de 1914-1918. Madame Ferrand dont ce sera le seul témoignage se souvenait de son beau-père qui racontait à des soldats d'outre-rhin, au repos dans sa maison, qu'Hitler les trompait et qu'un jour ils auraient le revers de la médaille. Les autres à ne pas accepter l'occupation : les jeunes qui allaient entrer dans le réseau de résistance de Rânes. Nous aurons tout le quatrième chapitre pour en faire part.
Autrement, nous trouvons des actions sans danger qui visent à tourner les Allemands en ridicule. Suzanne Mourez voit encore certains Rânais se moquer des soldats lorsqu'ils défilaient dans les rues de Rânes. "Un 14 juillet, m'avance un autre témoin, trois hommes sortirent de la messe, le premier habillé de bleu, le second de blanc et le troisième de rouge. C'était un acte de défiance." Ce témoignage ne m'a pas été confirmé. A Rânes on n'hésite pas à contourner des règlements tel le couvre-feu. Après les réunions de la JAC à Rânes, Pierre Lemière fit, avec d'autres membres, éteindre les lampes des Rânais prétendant être allemand. Enfin, la personne sans doute la plus influente pour une commune rurale chrétienne, le prêtre Lévesque savait montrer son dissentiment à l'égard de l'occupant. Ancien clerc de notaire, très astucieux et plutôt diplomate, il faisait prier pour la victoire de la France. Preuve aussi d'une certaine résistance passive : bien que certains Allemands se présentèrent à l'église, les rânais se plaisaient à chanter ces cantiques patriotiques. Ils savaient qu'il y avait peu de risques de montrer leur désaccord.
Les Rânais ne s'extériorisent pas. On ne cherche pas trop, mis à part quelques exceptions, à aller à l'encontre de l'ordre établi de même que l'on ne cherche pas à lier amitié avec les allemands. De plus on remarque que l'Allemagne, aux yeux des Rânais, c'est avant tout les soldats et loin derrière Hitler. Dans les divers témoignages il est très peu fait allusion aux actions hitlériennes.
On peut se demander si les Rânais montrèrent les mêmes sentiments à l'égard des Français de Vichy.

II) Vis-à-vis du gouvernement de Vichy
Le 16 juin 1940, Pétain remplace Reynaud à la place de président du conseil. C'est à lui que revient la charge de former et diriger son gouvernement. Le 22 juin, cinq jours après son fameux appel, Philippe Pétain signe par l'intermédiaire du Général Huntziger, le draconien armistice proposé par l'Allemagne.
Le 10 juillet 1940, l'Assemblée Nationale vote un texte dont l'article unique remet le sort de la France et celui du régime entre les seules mains du Maréchal. C'est la victoire des antirépublicains, c'est aussi la fin de la IIIème République Désormais Pétain avec l'aide de collaborateurs, comme Laval et Darlan, va rechercher à collaborer avec l'Allemagne. Pétain et son entourage conservateur espèrent mettre en place une nouvelle France dont les fondements seraient "Travail, Famille, Patrie". C'est le projet de la "Révolution Nationale".
Rânes est en zone occupée mais le régime de Vichy y conserve ses administrations, ses préfets et sous-préfets. Comment les Rânais ont-ils entendu le gouvernement français légal ? Comment Pétain était-il ressenti au sein de la population rânaise ?

a- Un régime qui connaît une mutation du soutien
En 1940, la majorité de la population a vu d'un bon œil l'entrée au gouvernement du Maréchal Philippe Pétain. Pour beaucoup de Rânais, si Pétain, le sauveur de la France en 1914-1918, a signé l'armistice c'est qu'il a vu que l'Allemagne était trop forte pour être vaincue. C'est pour cela qu'on le remercie d'avoir épargné la vie de nombreux soldats dans un combat qui paraissait être perdu d'avance. D'autre part, les Rânais voient dans les mots d'ordre du nouveau régime un retour aux traditions si chère à la Basse-Normandie qui sont l'ordre et la religiosité.
La population rânaise est encore plus satisfaite lorsqu'elle entend Pétain vouloir le retour à la terre. On espère beaucoup du nouveau régime : la fin de la guerre, l'évacuation des troupes allemandes de France, le retour des prisonniers. Certains comme André Duval, ancien combattant de 1914-1918, considère le régime comme un "moindre mal", si la collaboration est son mot d'ordre pour sortir la France de la misère il faut suivre l'Allemagne. Comme me disait Pierre Lemière "il n'était pas nazi mais il était pour l'Europe avant l'heure."
Cependant à partir de 1942-1943, avec le retour de Laval et l'occupation de la zone sud, c'est la rupture dans le soutien au régime. On commence à faire la différence entre le "bon Pétain" et le "méchant Laval". Désormais "beaucoup de gens sont déçus du régime". Ce dernier n'a pas su répondre à leurs souhaits : les prisonniers ne sont toujours pas revenus, l'occupant est toujours là, le régime parait inexistant face à Hitler et ne peut, par conséquent, pas appliquer des mesures visant à améliorer les conditions de vie des Rânais. Enfin, les contraintes imposées par l'occupant se font de plus en plus lourdes à mesure que l'on s'approche du débarquement. Désormais la radio dissidente de Londres prend le relais de la collaboratrice "Radio-Paris". On peut se demander dès lors si la population rânaise a la même attitude vis-à-vis de Pétain.

b- Pétain : un sauveur sans puissance
Les divers témoignages soulignent la présence de Philippe Pétain et de Pierre Laval dans le gouvernement de Vichy, cependant les deux hommes n'ont pas la même "cote" de popularité auprès des Rânais. Au cours des deux premières années du régime on constate un certain culte du Maréchal. Comme le souligne Suzanne Mourez, le chant "Maréchal nous voilà" aurait accompagné toutes les séances aux prisonniers. Pierre Lemière est moins catégorique sur l'étendue de l'interprétation cependant il reconnaît que 100 % des adultes qui s'y trouvaient restèrent longtemps maréchalistes.
A partir de 1942-1943, si la majorité des Rânais devient hostile au régime, vis-à-vis de Philippe Pétain il n’en est pas de même. Suzanne Mourez parlant de son père, André Duval, confirme : "mon père, comme bon nombre de villageois, resta pétainiste." Pourquoi, malgré des conditions de vie de plus en plus difficiles, les Rânais ne sont-ils pas hostiles au Maréchal.
Beaucoup pensent, entre 1940-1941, que Pétain ne peut pas riposter face aux Allemands. Ils ne s'imaginent pas que c'est lui et son entourage, et non Hitler, qui recherchent la Collaboration. Après 1942, lorsque les contraintes se font plus dures et l'occupation plus pesante, la plupart des Rânais voit dans le pauvre Maréchal le bouc émissaire d'un complot, c'est Laval et les allemands qui tirent toutes les ficelles. L'autre argument c'est que "Pétain est trop vieux", il n'est alors plus responsable.
Pour conclure cette partie il semble intéressant de s'appuyer sur le témoignage de Pierre Lemière qui reflète à peu près l'opinion majoritaire des Rânais. "Au début l'opinion était favorable à Pétain et à Vichy. C'est après 1942 que l'on fait la différence entre Pétain et Laval." Avant que les Allemands envahissent la zone libre de la France, Pétain semble à la tête d'un gouvernement qui donne beaucoup d'espoirs aux Rânais. Lorsqu'en 1942-1943 le régime se détache du soutien rânais, l'opinion publique dans sa majorité voit dans le "pauvre" Maréchal Pétain, un vieillard de plus de quatre-vingt-cinq ans qui a fait de son mieux. A Rânes, le régime n'est plus celui de Pétain mais celui de Laval avec l'aide allemande.
Cependant il faut comprendre que l'on est dans une commune occupée par les allemands, que la majorité des décrets sont l'œuvre de l'Etat nazi et que par conséquent le régime de Vichy parait bien loin des préoccupations rânaises. La preuve de cette affirmation ce sont deux femmes rânaises que j'ai interrogées qui ne savaient plus qui était le chef de gouvernement à l'époque. De plus, les actions que le gouvernement a mené contre les soi-disant ennemis de la nation n'ont guère marqué les esprits. D'une part aucun juif ne vivait à Rânes, on ne connaissait que leur soi-disant "réputation" d'hommes d'argent ; et d’autre part, sur 1200 habitants sept seulement votèrent communiste avant 1939, un seul était véritablement militant. La population rânaise n'a donc retenu que les mauvaises conditions de vie dans lesquelles elle est tombée. 
Face au détachement de Vichy, certains regardent d'un bon oeil l'émergence d'une nouvelle force: les Alliés et de Gaulle.

III) Vis-à-vis des Alliés
Jusqu'en 1941, les seuls opposants au régime et à l'Allemagne nazie sont l'Angleterre et quelques Français autour du Général de Gaulle. En 1941, après l'agression de son territoire par les Allemands, l'Etat soviétique de Staline entre à son tour dans la lutte contre le nazisme. Décembre 1942, après la bataille de Pearl Harbor, les Etats-Unis unissent leurs forces avec celles de I’URSS et de la Grande-Bretagne. En France, les événements internationaux sont retransmis de façon opposée par deux grandes radios : Radio-Londres et Radio-Paris, chacune soutenant l'un des deux camps. Le régime de Vichy s'oppose à son ancien allié : le Royaume-Uni, d'autant plus que ce dernier, depuis le 28 juin 1940 a reconnu le Général de Gaulle "chef des français libres" alors condamné à mort par contumace par le gouvernement de Pétain. A mesure que les alliés se renforcent et les Allemands faiblissent, les Rânais se font fort de savoir qui des deux, de Pétain ou de Gaulle, sauvera la France et avec quel soutien. Nous verrons dans un premier temps quelles ont été les raisons d'hostilité à l'encontre des britanniques et des français dissidents ? Puis comment de l'opposition en sont-ils venus au soutien.

a- Non à de Gaulle et aux Anglais !!
Le 16 juin 1940, le parti de ceux qui voulait continuer la guerre a été battu par les partisans de l'armistice. Le 18 juin 1940, le Général de Gaulle lance un appel à tous ceux qui souhaitent prolonger la lutte avec l'Angleterre contre l'Allemagne nazie et le futur gouvernement vichyste. La France, malgré les accords signés avec les Britanniques, a accepté un armistice séparé. Dès lors la Grande-Bretagne, qui poursuit son combat, en vient à ne plus reconnaître le régime de Pétain et se rapproche des Français dissidents. Nous verrons dans ce chapitre quels ont été les sentiments des Rânais à l'encontre des Alliés de l'époque et du gouvernement de de Gaulle installé à Londres.
Jusque dans les années 1942-1943, la majeure partie des Rânais soutiennent le régime de Vichy et Pétain. Bien qu'ils connaissent l'existence de de Gaulle par Radio-Londres, on sait qu'il est condamné à mort par contumace. Les villageois le considèrent alors comme un renégat utopiste.
"Dans un premier temps, nous avance Suzanne Mourez, on ne croyait pas en la victoire de l'Angleterre et de de Gaulle, tous seuls face à l'Allemagne." De plus souligne Pierre Lemière, "les Normands ne tiennent pas les Anglais dans leur cœur." Des soldats revenus à Rânes après la défaite, comme Jean Bisson, avaient très mal vécu Dunkerque. Devant cette tentative britannique, André Duval lance un "ils nous tirent dans le dos" bien révélateur. Dès lors, pour un certain nombre de Rânais, les Anglais avaient lâché la France. Plus tard, après l’armistice, les événements ne joueront guère plus en leur faveur. Le 3 juillet 1940, les troupes britanniques bombardent la flotte française à Mers El-Kébir, l'anglophobie rânaise a atteint son paroxysme. Enfin les 23-25 septembre 1940, la France Libre échoue dans sa tentative de prendre position en A.O.F. (Afrique Occidentale Française) à Dakar. A Rânes on ne comprend pas que des Français se battent contre des Français. De son côté Radio-Paris en profite pour montrer le caractère odieux des massacres. "Cependant, nous raconte Suzanne Mourez, ceux qui possédaient une T.S.F. écoutaient la radio clandestine quotidiennement et suivaient les combats alliés. Bien que l'on n'y croyait pas, il restait au fond de nous un espoir d'être libéré."

b- Puis de l'opposition, l'opinion est passée à l'espérance
Plus on s'approche du débarquement, puis les sentiments pro-alliés se font forts. "Les actualités de Radio-Londres font désormais l'équilibre avec celles de Radio-Paris." Avec le retour de Laval et l'occupation du territoire français, le régime de Vichy n'a pas rempli le contrat que semblaient attendre les Rânais. Désormais on ne pensait plus que Pétain pourrait rétablir la situation. On se tourne alors vers le gouvernement de la France Libre installé à Alger depuis le débarquement des Alliés en Afrique du Nord. Madame Mourez raconte que plus on approche du jour J et plus l'espérance est forte. Les Rânais en ont assez de l'occupation, ils voudraient revoir les prisonniers de guerre, les requis du STO qui ont pris le maquis ou la direction de l'Allemagne. Dès lors que les Alliés ont gagné un certain nombre de succès, certains Rânais, se souvient madame Mourez, cachent dans leur malle des drapeaux russes et anglais.
On constate là encore un revirement d'opinion, on attend avec impatience le débarquement des troupes alliées. Plus on s'approche du 6 juin 1944 et plus on y croit.
Pour conclure ce troisième chapitre, on peut souligner qu'à mesure que les années passent se met en place une mutation des sentiments à l'encontre des divers acteurs de la scène politique nationale et internationale. Cela reflète bien le caractère type normand "peut-être bien que oui, peut-être bien que non". De plus on constate que les Rânais n'aiment guère se mouiller dans des actions qui leur seraient préjudiciables. 
Les grandes discussions politiques rânaises avaient lieu entre villageois, cependant peu agissaient dans un sens ou dans l'autre. Mis à part le réseau de résistance Foccart, s'il y eut véritablement des résistants et des collaborateurs ce fut à l'ombre d'un verre et en parole.
On peut ajouter, et cela peut apparaître intéressant, si à la Libération on avait laissé entendre la création d'un gouvernement Pétain-De Gaulle, me dit Pierre Lemière, beaucoup de Rânais auraient vu cela d'un bon œil.
Tandis que Radio-Londres l'emporte sur Radio-Paris, une minorité de Rânais va entrer activement dans la résistance. De son côté, on peut écrire que la collaboration réelle sera plus économique qu'idéologique.

Extrait de : Jean-Philippe Bignon, Rânes pendant la seconde guerre mondiale
Mémoire (Histoire), Université de Caen, 1994. Chapitre III

Les réquisitions

Les logements des troupes, les premières exigences à leur arrivée, n'étaient que le début des réquisitions qui ont duré tout au long de la guerre.
Après avoir résolu les problèmes principaux liés au quotidien, les Allemands se sont mis à réquisitionner la nourriture au maximum des possibilités des villageois ne leur laissant que peu de chose à manger. En effet, ils prenaient les rations pour toute la troupe en céréale, pommes de terre, oeufs, viande, ... Ils s'accaparaient également du bois, ceci pas forcément pour les soldats séjournant dans le bourg, mais également pour tous les Allemands de la région.
Bien entendu, comme tout le monde sait, les Allemands ont pris tous les postes T.S.F. ne permettant ainsi aucun contact extérieur. Ainsi les villageois devaient amener leur(s) radio(s) à la mairie où elles étaient stockées. Il en était de même pour les fusils afin que seuls les Allemenands soient armés. Bien entendu, il y a eu des personnes à garder leur T.S.F. et à les cacher dans les caves ou dans les greniers afin de pouvoir écouter plus tard Radio Londres. Certains ont également enterré les armes pour ne pas être démunis contre l'ennemi en cas de renversement de situation. D'autres ont donné leur fusil à la mairie, mais le vieux qui ne fonctionne plus, tout en gardant précieusement le neuf.
Il y a également eu des bruits à circuler. En effet, M. Joseph Peccatte raconte que sa mère comme beaucoup d'autres villageois a enterré leurs cuivres et leurs bronzes de peur que les Allemands les prennent pour les fondre et refaire du matériel militaire, et afin de pouvoir récupérer quelque chose après la guerre en cas de gros problèmes.
M. Pierre Lemière se souvient également que les soldats raflaient le caoutchouc, les pneus, car en effet, c'était quelque chose de très rare à trouver et très cher à payer. Ils prenaient aussi les vélos mais très peu selon les dires de Mme Roger Catois; elle ajoute qu'ils les camouflaient quand même. Pour les transports, ils s'appropriaient tous véhicules. Ainsi, les commerçants, seules personnes avec les épiciers à avoir une automobile se voyaient-ils confisquer leur moyen de travail. Mme Yvonne Gatignol se remémore le moment où les allemands sont venus prendre la "Boulangère", voiture commerciale Citroën qui se trouvait sous le hangar. Mais ils n'ont jamais réussi à la faire démarrer. Mme catois se souvient que son oncle avait caché son automobile sous les bottes de paille de la grange où les troupes dormaient.
En ce qui concerne les chevaux et les bêtes à cornes, le maire recevait l'ordre des Allemands de mettre à la disposition de l'occupant un certain nombre de bêtes. De cette manière, le maire devait définir qui de la commune était dans l'obligation de donner sa bête aux Allemands. Mme Simone Guillouard reconte que lorsqu'il était désigné, le fermier devait emmener l'animal en question à Briouze, Ecouché ou quelquefois même à Argentan où il était pris en charge; mais il fallait faire jusqu'à 20 km (Argentan-Rânes) pour donner sa bête. Les bestiaux réquisitionnés étaient estimés devant commissions, affirme M. Georges Bouquerel. Les chevaux devaient également être contrôlés puisque Mme Catois dit que les siens n'avaient pas été emmenés car c'étaient des poulinières.
M. Lemière parle de ce moment où il a fallu se détacher des chevaux. Cet abandon n'était pas seulement affectif ou économique pour une simple bête. En effet, M. Lemière, en tant qu'agriculteur exploitant, voyait cela comme une grave crise pour les campagnes. Il faut bien avoir en tête que toute la vie agricole tournait autour du cheval puisque c'est lui qui faisait tous les travaux de force aux champs. Il n'y avait pas de tracteurs; il fallait donc un ou deux chevaux pour tirer la charrue, moissonner, herser, déchaumer. Cette réquisition des chevaux a donc engendré beaucoup de problèmes du point de vue alimentaire. Ces problèmes vont donc se répercuter sur l'économie du village.
Nous pouvons ajouter que lors de la débâcle, les Allemands, repartant en vitesse, ont volé (réquisitionné) du bétail (des vaches principalement) pour les besoins que nécessitait leur retour jusqu'en Allemagne.
Mme Guillourd rappelle également qu'il n'y avait pas que des Allemands à exiger. Il y avait aussi des Français qui travaillaient pour les Allemands. "Mais avaient-ils vraiment le choix ?".
Les Allemands n'exigeaient pas seulement des denrées matérielles. M. Bouquerel se rappelle aussi avoir été lui-même réquisitionné en tant que boucher pour les besoins des Allemands. Tous les hommes du village ont dû un jour se soumettre aux obligations. En effet, les Allemands, ayant peur des actes de la Résistance, ont ordonné à toute la population masculine d'aller garder les soirs et pour toute la nuit la voie de chemin de fer Paris-Granville; cela afin d'éviter le maximum de sabotages. En effet, les hommes réquisitionnés le jour même devaient se rendre "aux Yveteaux sous la direction du charron de Lougé [quelques km de Rânes], M. Maingot" (monographie, voir ci-dessus). Ils avaient dans la musette de quoi manger pour la nuit et de quoi boire... Ils devaient avoir sur eux deux "ordres de réquisition" (voir annexe, reproduits ci-dessous): un en français qu'ils laissaient au chef de poste français et un second en allemand. Ce dernier, ils devaient le garder sur eux pour le donner à contrôler aux soldats allemands durant leur ronde. Cette ronde consistait à faire un aller-retour d'environ une heure du poste à un autre point donné sur la ligne de chemin de fer. Ces obligations se répétaient: environ deux à trois fois par semaine pour le village entier ce qui donnait une fois par mois pour chaque homme, affirme M. Peccatte.
Il en était de même pour les lignes téléphoniques qui étaient régulièrement coupées par des membres de la Résistance. Ces tours de garde sont bien entendu allés en se multipliant jusqu'en 1944.
Ainsi, la réquisition allemande a vraiment pesé dans tous les domaines aussi bien alimentaires, économiques, matériels et humains. Mais les témoins affirment quand même qu'elles n'ont pas été importantes dans le village.

Extrait de : Claire Forget, La vie quotidienne durant la deuxième guerre mondiale dans le village de Rânes, 1939-1945. Mémoire de DEUG (Histoire), Université de Caen, 1995. 42 p. + annexes


Ordre de réquisition individuelle - français
Ordre de réquisition individuelle pour la garde de la voie de chemin de fer Paris-Granville, établi au nom de Georges Sérée.
En français.
Extrait de : Claire Forget, La vie quotidienne durant la deuxième guerre mondiale dans le village de Rânes, 1939-1945. Mémoire de DEUG (Histoire), Université de Caen, 1995. 42 p. + annexes

Ordre de réquisition individuelle - allemandOrdre de réquisition individuelle pour la garde de la voie de chemin de fer Paris-Granville, établi au nom de Georges Sérée.
En allemand.
Extrait de : Claire Forget, La vie quotidienne durant la deuxième guerre mondiale dans le village de Rânes, 1939-1945. Mémoire de DEUG (Histoire), Université de Caen, 1995. 42 p. + annexes




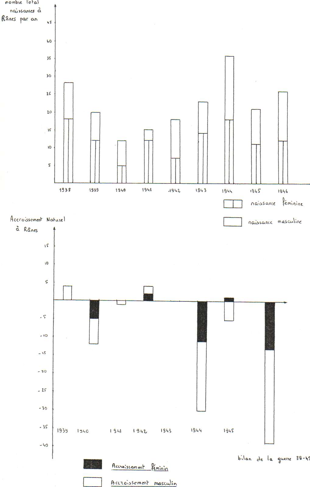
Graphique des naissances à Rânes durant la Seconde Guerre MondialeGraphique des naissances à Rânes durant la Seconde Guerre Mondiale
Extrait de : Jean-Philippe Bignon, Rânes pendant la seconde guerre mondiale
Mémoire (Histoire), Université de Caen, 1994.



Graphique des décès à Rânes durant la Seconde Guerre MondialeGraphique des décès à Rânes durant la Seconde Guerre Mondiale
Extrait de : Jean-Philippe Bignon, Rânes pendant la seconde guerre mondiale
Mémoire (Histoire), Université de Caen, 1994.